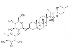
產品中文名稱:重樓皂苷VI
英文名:Polyphyllin VI
中文別名:重樓皂甙VI
英文別名:Chonglou saponin VI
CAS登錄號:55916-51-3
分子式:C39H62O13
分子量:738.91
外觀:白色結晶。
用途:重樓皂苷VI用于含量測定/鑒定/藥理實驗等。
純度:98%以上。
用法:色譜條件:流動相:**-水(41:59),流速:1.0mL/min,柱溫:室溫,檢測波長:203nm (僅供參考) 。
提取來源:百合科植物云南重樓Paris yunnanensis Franch. 的根莖。
溶解性:補充中。
藥理藥效:有止血、祛痰和抑菌、鎮靜鎮痛、抗早孕殺滅精子、抗細胞毒等作用, 臨床用于治療功能性子宮出血、神經性皮炎、外科炎癥以及腫瘤等, 都有顯著的療效。
貯存條件:4℃冷藏、密封、避光。
注意事項:應在低溫下保存,長時間在暴露在空氣中,含量會有所降低。

