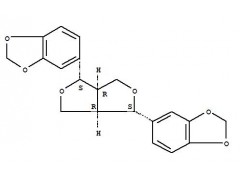
供應 L-芝麻脂素,又名芝麻素,英文名:L-Sesamin,CAS No:607-80-7。純天然提取,經過NMR結構確證和HPLC純度檢測,含量98.5%以上。該產品用于含量測定,藥理試劑。
可根據客戶需求,提供多種規格的包裝。量大優惠。本公司可為客體提供多種標準品的定制。
上海永恒生物科技有限公司,位于上海市青浦區科技創業中心,公司擁有約300平方米的研發中心,具備各種分離純化填料及多臺分析型和制備型HPLC。公司主營中藥標準品、中藥對照品和中藥提取物。經過多年的研發,公司目前已可以自主生產約200余種中藥標準品。

